LES ESSAIS DE PERMÉABILITÉ
1. LES ESSAIS DE PERMEABILITE SUR LE CHANTIER
Comme nous venons de le voir, les essais de mesure de la
perméabilité sont le plus souvent réalisés en laboratoire, sur des échantillons
de sol remanié. L’utilisation des perméamètres, conduit parfois à des résultats
plus au moins fiables. On peut remédier à cette situation en effectuant
des essais in situ sur le sol intact. Ces essais requièrent toutefois de
nombreuses pièces d’équipement et prennent beaucoup de temps. On note les 2
essais suivants :
1.1. L’ESSAI DE PERMEABILITE PAR POMPAGE
Cet essai de la figure 8 permet de déterminer la perméabilité
globale d’un dépôt de sol. Il consiste à abaisser la surface libre de la nappe
d’eau dans un puit de pompage.
En pratique , il consiste à forer jusqu’à la couche
imperméable de sol ou au roc. On effectue un pompage continu et régulier, de
façon à créer un écoulement permanent et ainsi maintenir le niveau d’eau
stationnaire dans les puits de pompage et d’observation. Puis, on mesure le
rabattement de la nappe d’eau dans les puits d’observations.
La distance à laquelle le pompage n’a plus d’effet sur la nappe
d’eau s’appelle le rayon d’influence (R). L’abaissement maximal hode
la surface libre se fait dans le puit de pompage.
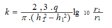
On mesure le coefficient de perméabilité à l’aide de
l’équation (Dupuit 1863) :
§ Dépôt de sol homogène et isotrope
§ Loi de Darcy applicable à l’écoulement
§ Vitesse horizontale constante en tout point
situé sur une verticale
§ Vitesse verticale négligeable par rapport à la
vitesse horizontale
1.2. L’ESSAI DE PERMEABILITE A LA BASE D’UN TUBAGE DE FORAGE
L’essai consiste à faire circuler de l’eau par gravité à travers
le sol en contact avec la base du tubage (figure 7) de diamètre intérieur D, il
est considéré comme essai ponctuel, on verse le sable lavé, puis on relève le
tubage par paliers, de façon qu’il reste toujours 15 cm de sable à
l’intérieur, après l’avoir remplis d’eau jusqu’à une hauteur HC située
au moins à un mètre au dessus de la surface libre de la nappe, on mesure le
débit q nécessaire pour maintenir l’eau dans le tubage à un niveau constant;
deux méthodes sont utilisées :
§ Méthode à niveau constant : perméabilité
moyenne k = q / 2.75.D.HC
§ Méthode à niveau variable : perméabilité
faible k =
p’.C / 60
Avec : p’ est la pente du graphique de ln(H/Hi) en
fonction du temps
2. L’ECOULEMENT DE L’EAU DANS LES SOLS
Cette partie met davantage l’accent sur les
mouvements de l’eau dans les sols. Nous avons vu que la capacité, la gélivité,
le gonflement et le retrait permettent de décrire le comportement des sols en
présence d’eau à l’état stationnaire : ce sont des propriétés de nature
statique.
En revanche, seule la perméabilité caractérise
le comportement des sols lorsque l’eau est en mouvement, c’est donc la seule
propriété hydraulique dynamique, et c’est pourquoi nous donnons plus
d’importance.
2.1. LES CHARGES HYDRAULIQUES
Par sa position, la pression qu’elle subit et la
vitesse à laquelle elle s’écoule, l’eau en un point donné du sol porte
une quantité d’énergie qu’on évalue à l’aide d’une équation empruntée à la
mécanique des fluides, l’équation de Bernoulli :
Dans cette équation, l’énergie totale est exprimée en unités
d’énergie par poids d’eau ou, plus simplement, en hauteur d’eau. C’est pourquoi
on remplace souvent le terme énergie par charge hydraulique ou charge, que l’on
représente par la lettre h.
2.2. LES TYPES DE CHARGES
En examinant l’équation de Bernoulli, on
constate que la charge hydraulique totale est constituée de trois charges
partielles :
La charge de
vitesse (hv = v2/2g) correspond à l’énergie
cinétique accumulée par l’eau en un point donné. Dans les sols, on ne tient pas
compte de cette forme d’énergie, car l’écoulement de l’eau est très lent et
produit des charges de vitesse très faibles.
La charge de
pression (hp = p/gw) représente l’énergie
produite par la pression qui s’exerce sur l’eau en un point donné. Cette
pression est engendrée par la quantité d’eau située au-dessus du point
considéré.
Quant à la charge d’élévation, elle est associé
à l’énergie potentielle. Elle représente la distance qui sépare le point
considéré d’une surface de référence arbitraire.
On peut donc reformuler l’équation : h = hv +
hp + he
où h = charge hydraulique en un point donné
Quand la charge hydraulique totale varie d’un point à un autre, on
peut dire qu’il y a une perte d’énergie (une perte de charge Dh) causée
par la friction de l’eau s’écoulant à travers le sol.
Etant donné la charge de vitesse négligeable et la charge
d’élévation constante, l’écoulement de l’eau dans le sol entraîne uniquement
une diminution de la charge de pression en un point donné. Cette perte de
charge correspond à la différence entre les charges hydrauliques totales
(figure 8) :
Dh = hA –
hB
2.3. LE CALCUL DES CHARGES ET DES PERTES DE CHARGE
A titre d’exemple, nous Voyons, à l’aide de la figure 9, comment
se calculent les charges hydrauliques aux points A, B, C, D et E.
![]() |
LES ESSAIS DE PERMÉABILITÉ |
3. LA CAPILLARITE
La capillarité est un phénomène physique qu’on
illustre habituellement à l’aide d’un tube de verre très fin dont une des
extrémités est prolongée dans l’eau contenue dans un récipient (nappe
phréatique). L’eau s’infiltre à l’intérieur du tube (sol et interstices) et
s’élève à une hauteur supérieure au niveau de l’eau du récipient, semblant
ainsi défier les lois de la gravité.
Le sol présente un milieu propice pour la
capillarité. Sa hauteur dépend du type de sol.

.png)
.png)
.png)
.png)
.png)